The Parabolic SAR
The Parabolic SAR (PSAR) is developed for trending markets and is employed by traders to predict bearish or bullish price reversals and the plausibility of trend continuations. When utilized, the PSAR appears as a series of dots above or below charted candlesticks that indicates bullish or bearish signals.
Key Takeaways
-
A dot below the price action indicates a bullish signal and a dot above indicates a bearish signal.
-
In trading, the PSAR can also be used to place stop-loss orders in accordance with the SAR points.
-
To avoid false signals in sideways markets, the PSAR is best used alongside other indicators like the Average Directional Index (ADX), mean reversion, and moving averages
The mathematical study of financial markets features a wide array of techniques and indicators. These tools are found throughout history, and vary from being easily interpretable for most retail traders to overly esoteric. A prominent example of analysis in trading can be dated back to the book of Aristotle. Thales, a Greek astronomer, was able to determine the weather of an ensuing harvest season purely from the movement of the stars during the winter. This allowed him to speculate in the supply of olives. He would thus preemptively rent all the olive presses for the harvesting season, allowing him to capitalize once demand swelled.
Since the time of Thales, technical analysis has matured to include the study of behavioral economics, market sentiments, and quantitative analysis (amongst other disciplines) and is indeed the most preferred method for speculating on crypto. Although technical analysis can be divided into multiple subdomains, technical indicators remain a prevalent option. And, with technical indicators abound, one of the most preferred is the Parabolic SAR (PSAR) indicator.
Understanding the Indicator
The PSAR can be partitioned into its two components: parabolic referring to the parabola formed by the dots on the chart, and the dots themselves being stop-and-reversal (SAR) points. Therefore, the PSAR provides multiple indications. A dot below a candlestick is interpreted as a bullish signal, and a dot above a bearish. The indicator assumes the investor is constantly holding a spot position in the security; hence, the dots provide entry points for long positions, when to exit to hold short, and vice-versa. This also acts as a means for setting stop-loss orders, as investors can merely match the PSAR indicator.

Source: GeckoTerminal
Therefore, when a dot switches – as highlighted above – a potential change in price-direction is underway. The severity of this price-direction change, and its possibility of a breakout, is illustrated by the parabolic nature of the indicator as the dots accelerate with a persisting trend. The PSAR is also known as the Parabolic Time/Price System, as coined by its creator J. Welles Wilder Jr. This is to highlight that the stop is a function of price and time. As the indicator assumes a trader is constantly invested, if one is in a long position the stop (dot) will move up each day – this is the time function. The distance the stop moves up each period is relative to the distance the price has moved – hence the price function. Therefore, the longer a position is held – or the longer a price direction persists – the faster the stops accelerate. Consequently, when a dot switches direction it indicates a potential market reversal: if it switches from below to above, it can be perceived as a bearish signal with a decrease in price to follow.
Calculating the PSAR
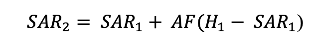
To properly understand the indicator, delving into its construction is useful. The PSAR is calculated using existing market data. Let us assume, for simplicity, the previous day had an extreme price point (SIP) of 10 and that we hold a long position. For the first day of calculation, this significant point is also our stop and reversal (SAR) point. Accordingly, 𝑆𝐼𝑃 = 𝑆𝐴𝑅 =10. We can now calculate the SAR for day 2 by using the following formula:

Where 𝐻1 is the previous day (or period) high and AF is the acceleration factor. The acceleration factor is the integral piece that gives the PSAR its parabolic nature. The AF was set by J. Welles Wilder Jr. to start at 0.02 and increase by 0.02 each day (or period) until it reaches a maximum value of 0.2. The acceleration factor varies depending on the new highs and lows set by the market. This demonstrates the accelerating appearance of the indicator as a trend continues over time. In the event a price swing occurs, and we are assumed to now be holding a short position, we instead subtract the previous day SAR from the previous SIP point (this time the low), and multiply the difference by the AF (starting back at 0.02) and subtract this from the previous SAR. To illustrate:

Adding the PSAR Indicator on GeckoTerminal
Following its simplistic construction, implementing the PSAR into a price chart is also straightforward on GeckoTerminal. Simply select a desired swap pool, like WETH/USDC on Uniswap V3 (as shown above), or WBTC/USDC on Uniswap V3, and then select “indicators'' on the price chart. Type in “Parabolic SAR”, and the indicator will appear above and below the price action.

Source: GeckoTerminal
Applying the PSAR to Crypto
PEPE, the meme coin that soared more than 2100% from its debut, can help demonstrate the potential gains and pitfalls of the indicator if it is followed religiously. The chart below portrays the PEPE/WETH pool found on Uniswap V3. As demonstrated by the nature of the price action, this pool illustrates a turbulent price history. If the PSAR is followed to predict bearish or bullish signals, with stop-losses placed in accordance with the SAR points, traders can experience regular gains in both long and short positions. Given the strength with which these price swings exist, one might notice the healthy acceleration of the SAR points (“price function”). However, the SAR points also suggest a constant switching between short and long positions during sideways movements – a flaw discussed later on.

Source: GeckoTerminal
From its construction it is evident the PSAR bolsters in strength when utilized in a trending market. As overall crypto sentiment tends to be trend dominant, the efficacy of this indicator has been proven. As in the case of PEPE, the hype generated around the token, and the FOMO that followed, catalyzed its meteoric rise. Nevertheless, as time persisted, the market experienced enduring volatility and perpetually shifting market sentiment, as does the majority of crypto. Hence the indicator can house a number of flaws.
Flaws and False Signals
In sideways, anti-trend markets the PSAR can produce a number of false signals. As the indicator bobbles between bullish and bearish signals as the price moves sideways, it can harm traders, forcing them to augment its calculation. While moving sideways, a trader can expect smaller profits or increased losses as the indicator constantly signals to switch between long and short positions.

Source: GeckoTerminal Platform
To alter the propensity with which the indicator swings from up-trending to down-trending, and vice-versa, one can manipulate the acceleration factor. In order to decrease the sensitivity of the PSAR, as it reacts to new highs and lows, the AF can be decreased. This produces less reversals. In increasing the AF value, the indicator can signal more SAR dot switches. Alternatively, one can manipulate the maximum AF value (0.2). Reducing the max AF value will produce fewer reversals, and increasing it will produce more. However, this approach has a less immediate effect as a price trend needs to persist to hit the maximum acceleration value.

Source: GeckoTerminal Platform
Notice, from the first to second graph above, how in changing the AF from 0.02 to 0.01 the PSAR does not switch during the same period, avoiding the false signal.
As an alternative to manipulating the PSAR to account for its flaw, traders often use it in conjunction with other indicators. In the interest of brevity, these sections are intended to act as a basis for using the PSAR with other indicators, and further research is required before employing these strategies.
Average Directional Index (ADX)
In continuing to ride the coattails of J. Welles Wilder Jr., one can combine the PSAR with his average directional index (ADX) momentum indicator. The directional movement index (DMI) consolidates the ADX and two additional indicators, to measure the magnitude and direction of a trend. The DMI includes the ADX, the plus direction indicator (DI+), and the minus direction indicator (DI-). The ADX shows the strength of the trend – where a higher value constitutes a stronger trend – and the latter two indicators represent the current price direction. The current price momentum is up when the DI+ is above DI-, and the converse is true when the inverse occurs. As a heuristic process, you can use the following formulas to construct a 14-day period DMI strategy. The ADX is calculated as:

The prior ADX is the smoothed result of the previously consolidated directional movement index of the past 14 days:

The directional movement index (DX) is the difference of +DI and -DI, divided by the sum of +DI and - DI:

In addition to the ADX, the plus/minus directional indicators are calculated as follows:

Where the smoothed +/-DM is:

The DM is simply the directional movement and is determined as follows:

Lastly, the average true range – the denominator of the plus/minus directional indicators – is determined by:

The previous ATR is illustrated by:

And the true range is simply the maximum of the difference between the current high and low, the current high and the previous close, and the current low and the previous close:

While the construction of the DMI and its constituents seem convoluted, its interpretation is simple. The DMI was developed by Wilder to show the strength of a trend, whether up or down. He suggested a trend was present when the ADX surpassed a value of 25. Therefore, if the DI- is above the DI+ and the ADX is above 25, this indicates a strong downtrend. If the DI+ is above the DI- and the ADX is above 25, this is an indication of a strong uptrend. It is important to note the ADX line does not consider the direction of the movement, but solely how much the market is trending in the present.
Applying the ADX to the PSAR

Source: GeckoTerminal
To be used in conjunction with the PSAR, it is best employed when a reversal of the PSAR occurs in tandem with a crossover of the DI+ and DI-, heralding a strong price-movement reversal. This is present in the above graph, wherein the DI+ crosses the DI-, while the ADX is above 25, and at the same time the PSAR turns bullish. Traders can maintain this position even if the ADX, DI+, or DI- changes, so long as the parabolic trailing stop is not taken out. Notwithstanding, if the ADX falls below the threshold of 25 or the DI+ and DI- relationship inverts, traders may need to reevaluate their positions. In using both indicators, traders can avoid the false signals produced by the PSAR when used in isolation in sideways trending markets.
Mean Reversion
Mean reversion is commonplace in the realm of quantitative trading. It is founded on the idea of stationarity – the constant variation in an asset's price with no periodic fluctuations. This underpins the assumption that an asset's price will eventually revert to its mean. The discrepancy between stationarity and non-stationarity is best described graphically:

Source: Wikipedia: Stationarity process
One can deduce the existence of stationarity in the first graph, given its oscillation around the mean. To test for stationarity, one might employ a variety of assessments, including the Augmented Dickey Fuller (ADF) test. The ADF tests the null hypothesis that the series is non-stationary. Individuals can check for stationarity if the resulting p-values are less than 0.01 or 0.05, for example. This allows us to reject the null hypothesis and recognize the presence of stationarity. The ADF test statistic suggests non-stationarity cannot be rejected at the 5% level in the second graph, hence its trend-like appearance. Both the ADF and the search for p-values are easily found in many statistics libraries.
The difficulty in mean reversion is determining if stationarity is present: the rest is simple. If you see a value lower than its mean, you long the asset, as you know it will return to its mean, and vice-versa. The classical Bollinger Bands strategy provides a more quantifiable range. For example, one can look to see if the price is 2 standard deviations below the mean (Lower Bollinger Band), and assume a long position. Or, if the asset price is 2 standard deviations above the mean (Upper Bollinger Band), one can go short. The Bollinger Bands are calculated by summating the moving average (MA) and the number of standard deviations (e.g., m=2) multiplied by the standard deviation over n periods of the typical price:

Where:

Regardless of these bounds, in a trending market – as shown in the second graph above – the asset price can go far beyond 2 standard deviations, leaving positions pregnable. Additionally, as hypothesized by the efficient market hypothesis, this technique can be pacified because of competition: the more people that do it, the less profitable it becomes.
Applying Mean Reversion to the PSAR
The implementation of mean reversion with the PSAR is fairly straightforward. Using the Bollinger bands strategy as a basis, if the price of a security is 2 standard deviations above its simple moving average (SMA), and a potential price-reversal is indicated by the PSAR, a short position is optimal. If the price of a security is 2 standard deviations below its SMA, and the PSAR has switched to a bullish signal, a long position is preferred. When used in unison, mean reversion reinforces the bearish/bullish signal highlighted by the PSAR indicator.
Moving Averages
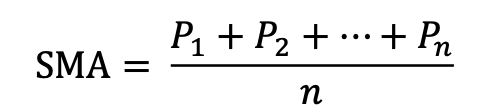
Lastly, the PSAR can be used with the exponential moving average (EMA). The simple moving average (SMA) is at the foundation of its creation. Moving averages are simplistic, but used to identify the market's direction. The SMA is calculated by taking the arithmetic mean of an assets price, over a given period of time:

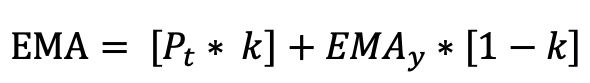
The exponential moving average is calculated as:

Where 𝑃t is the price today, 𝐸𝑀𝐴y is the EMA yesterday (which is equal to the SMA for first time calculations), and k is the weighting factor:

This calculation of the EMA puts more weight on recent data points than the SMA, making it a weighted average calculation. A downwards trend in this indicator might signify a price downswing, and an increasing trend a price upswing.
Applying the EMA to the PSAR
The EMA and PSAR combination is based on the EMA crossover either below or above the price action.

Source: GeckoTerminal
As depicted in the graph above, both the PSAR and the EMA are below price action prior to the PSAR switching. Once the PSAR switches, indicating a bearish signal, traders will wait to enter a short position until the EMA crosses over price action as well. This trade can be managed by placing a stop-loss order above the highest PSAR dot, or above where the EMA crosses over. Maintaining this position is contingent upon the PSAR dots remaining above the price action. Key support levels may supply satisfactory exit points for traders as well.
Conclusion
The purpose of the PSAR is to identify potential price reversals, exit points, trends, and satisfactory stop- loss order positions. In sideways markets, the indicator falls victim to misleading signals in isolation, as it was developed for trending markets. Considering crypto's greater volatility, the PSAR is best employed in combination with other theories or indicators, providing more grounds for trade decisions and implications for trend directions.
All content in this article does not address the circumstances of any particular individual or entity and is information of a general nature. Nothing in this article constitutes professional or financial advice, nor does any information in this article constitute a comprehensive or complete statement of the matters discussed.
Subscribe to the CoinGecko Daily Newsletter!
Ethereum Mainnet
Base Mainnet
BNB Smart Chain
Arbitrum
Avalanche
Fantom
Flare
Gnosis
Linea
Optimism
Polygon
Polygon zkEVM
Scroll
Stellar
Story
Syscoin
Telos
X Layer
Xai